Le GIEC doit améliorer ses performances pour maintenir sa légitimité
(Roger Pielke Jr. (1) dans The Honest Broker du 3 février 2025)
Les lecteurs de longue date de THB savent bien que je suis un fervent partisan des évaluations scientifiques formelles, une forme d’ arbitrage scientifique , telle que définie dans mon livre qui donne son nom à ce site . Les évaluations scientifiques sont essentielles pour comprendre ce que les experts concernés pensent collectivement savoir, ce qu’ils pensent ne pas savoir, ainsi que pour faire émerger les incertitudes, les désaccords et les zones d’ignorance.
Les évaluations, lorsqu’elles sont bien réalisées, ne sont pas des machines à vérité, mais offrent un aperçu provisoire dans le temps qui peut informer les décideurs et le grand public sur l’état des connaissances scientifiques actuelles.
En ce qui concerne le changement climatique, le Groupe d’experts intergouvernemental sur l’évolution du climat (GIEC) a réalisé des évaluations scientifiques du changement climatique (six jusqu’à présent) depuis 1988. J’ai toujours été un fervent partisan du GIEC, déclarant devant le Congrès américain que « s’il n’existait pas, il faudrait l’inventer ».
Cela dit, l’évaluation la plus récente du GIEC a donné de multiples indications inquiétantes sur une baisse de sa qualité – des parties clés du rapport n’étant pas fiables, ce qui met en péril sa légitimité. En un mot, d’après mes observations en tant que membre extérieur du GIEC de longue date ¹ – le Groupe de travail 1 du GIEC sur les sciences physiques a globalement fait les choses correctement dans mes domaines d’expertise, mais certaines fissures apparaissent. Le Groupe de travail 2 du GIEC, sur les impacts et la vulnérabilité, est profondément politisé et peu fiable ² . Son Groupe de travail 3 sur l’atténuation a été largement accaparé par une communauté universitaire étroite , axée sur la modélisation d’évaluation intégrée.
Dans l’article d’aujourd’hui, je mets en évidence certains des nombreux problèmes de contrôle de la qualité du GIEC que j’ai observés dans ses sixièmes rapports d’évaluation (AR6). Les facteurs sous-jacents à ces problèmes doivent être abordés alors que le GIEC accélère son septième cycle d’évaluation. La légitimité politique et publique est difficile à gagner et facile à perdre. Le GIEC est trop important pour devenir une simple institution politisée de plus dans le domaine de la politique climatique.
Les évaluations du GIEC doivent couvrir la « gamme » des points de vue exprimés dans la littérature et être « équilibrées » :
Dans les rapports d’évaluation, les rapports de synthèse et les rapports spéciaux, les auteurs principaux coordonnateurs (CLA), les auteurs principaux (LA) et les rédacteurs en chef (RE) des équipes de chapitre sont tenus de prendre en compte l’éventail des points de vue scientifiques, techniques et socio-économiques, exprimés dans des évaluations équilibrées.
L’attente selon laquelle les évaluations du GIEC doivent être « exhaustives » a été renforcée par l’ examen des politiques et procédures du GIEC effectué en 2010 par le CCI :
Les rapports d’évaluation du GIEC visent à fournir une analyse complète et objective de la littérature disponible sur la nature et les causes du changement climatique, ses impacts environnementaux et socio-économiques potentiels et les options de réponse possibles.
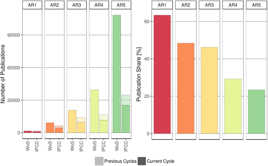
L’un des principaux défis auxquels le GIEC est confronté est la croissance exponentielle de la littérature scientifique sur le changement climatique. La figure ci-dessous montre que le GIEC a identifié plus de 400 000 publications liées au changement climatique qui ont été publiées au cours du cycle d’évaluation du sixième rapport d’évaluation.

Le GIEC a récemment reconnu le défi posé par l’abondance et la croissance de la littérature : « Le volume des publications sur le changement climatique a augmenté de manière exponentielle, doublant quasiment à chaque cycle du GIEC. . . Cela pose des défis toujours plus grands aux équipes d’auteurs. » L’une des conséquences de cette littérature croissante est que de moins en moins de publications sont citées dans chaque évaluation.

Le graphique ci-dessus montre que les rapports successifs du GIEC ont cité une proportion plus faible de la littérature que l’organisation est chargée d’évaluer de manière exhaustive. Cela implique-t-il qu’il y a trop de science climatique ? Qu’il y a de vastes domaines de redondances ? Y a-t-il d’énormes lacunes dans la littérature évaluée ? Le sous-ensemble cité reflète-t-il la proportion beaucoup plus importante de ceux qui ne sont pas cités ?
La proportion décroissante de la littérature pertinente évaluée par le GIEC est problématique, selon Minx et al. 2017 , car elle ouvre la porte à des biais dans l’évaluation :
[A]ucun des auteurs du GIEC n’a pu examiner directement les publications scientifiques les plus récentes dans le cadre du cinquième rapport d’évaluation et n’a donc pas été inclus dans la synthèse des connaissances scientifiques. L’ampleur de la littérature actuelle et la part beaucoup plus importante de la couverture des publications dans les évaluations précédentes du GIEC suggèrent que le recours au jugement des experts pour sélectionner les publications à évaluer est devenu de plus en plus prononcé au fil du temps. Le biais introduit par cette sélection d’experts et donc l’impact de la « littérature volumineuse » sur les résultats de l’évaluation restent flous et une discussion sur les options procédurales pour y faire face a jusqu’à présent été notablement absente.
La principale raison pour laquelle le GIEC est censé être exhaustif dans ses évaluations est d’éviter tout biais qui pourrait être introduit – intentionnellement ou non – par la citation sélective d’un petit sous-ensemble de la littérature qui peut ou non refléter la littérature plus large.
Un exemple particulièrement flagrant de biais de citation sélective est lié à mes recherches. À propos des ouragans, le groupe de travail AR6 du GIEC a déclaré (soulignement ajouté) : ³
Un sous-ensemble des données de suivi optimales correspondant aux ouragans qui ont eu un impact direct sur les États-Unis depuis 1900 est considéré comme fiable et ne montre aucune tendance dans la fréquence des événements touchant terre aux États-Unis (Knutson et al., 2019). Cependant, une tendance à la hausse des dommages normalisés causés par les ouragans aux États-Unis, qui tient compte des changements temporels dans la richesse exposée (Grinsted et al., 2019) , et une tendance à la baisse de la vitesse de translation du TC sur les États-Unis (Kossin, 2019) ont également été identifiées au cours de cette période.
La citation de Grinsted et al. 2019 est censée suggérer que les données de la NOAA Best-Track sur les ouragans pourraient ne pas être fiables. Cette affirmation est non seulement très trompeuse (n’utilisez pas de données économiques pour évaluer les données climatiques – bien entendu), mais elle constitue également une exception notable dans la littérature. Ici, le GIEC n’a pas cité huit autres études dont les résultats sont contraires à ceux de Grinsted et al. 2019 – Martinez 2020, Weinkle et al. 2018, Klotzbach et al. 2018, Bouwer et Wouter Bozen 2011, Schmidt et al. 2009, Pielke et al. 2008, Collins et Lowe 2001 et Pielke et Landsea 1998. ⁴
Le GIEC ignorait-il cette littérature ou essayait-il délibérément de présenter une vision biaisée ? Aucune de ces deux options n’est bonne.
Le groupe de travail 2 du sixième rapport d’évaluation du GIEC s’est également montré très sélectif dans ses citations de la littérature sur les pertes normalisées dues aux ouragans aux États-Unis (soulignement ajouté) : ⁵
Les études sur les ouragans aux États-Unis depuis 1900 ont révélé une augmentation des pertes économiques qui sont cohérentes avec l’influence du changement climatique (Estrada et al., 2015 ; Grinsted et al., 2019), bien qu’une autre étude n’ait constaté aucune augmentation (Weinkle et al., 2018) .
Dans ce cas, Estrada et al. 2015 ne font aucune déclaration d’attribution – il s’agit donc d’une citation erronée – et Weinkle et al. 2018 est l’une des neuf études de ce type dans la littérature qui n’ont constaté aucune augmentation des pertes après normalisation , ce qui est cohérent avec le record historique des atterrissages d’ouragans aux États-Unis.
Encore une fois, le GIEC était-il ignorant ou trompeur ?
De manière plus générale, le GIEC a ignoré plus de cinquante autres études qui ont normalisé les pertes dues aux catastrophes, dont aucune — à l’exception de Grinsted et al. 2019, citée à plusieurs reprises par le GIEC — n’a prétendu avoir attribué les pertes normalisées dues aux catastrophes aux changements climatiques. Ces études sont répertoriées dans le tableau ci-dessous. Le parti pris est ici indéniable.
Source : Pielke 2020 :
Le GIEC a longtemps été confronté au défi de dénoncer les catastrophes et le changement climatique, un problème que j’ai documenté en détail dans The Climate Fix et dont je parle dans mon podcast ci-dessous.
Comment je suis devenu Voldemort grâce à la science du climat

Il y a quinze ans, des problèmes de contrôle de la qualité dans le quatrième rapport d’évaluation du GIEC ont motivé une évaluation externe par le Conseil interacadémique , qui a recommandé une série de mesures pour améliorer l’intégrité de l’évaluation. L’un des problèmes majeurs était la citation fréquente d’articles de presse et de billets de blog dans le quatrième rapport d’évaluation, en particulier dans son groupe de travail 2. ⁶
Aujourd’hui, le GIEC est très clair :
En général, les journaux et les magazines ne constituent pas des sources valables d’informations scientifiques. Les blogs, les sites de réseaux sociaux et les médias audiovisuels ne sont pas des sources d’information acceptables pour les rapports du GIEC.
Cependant, le groupe de travail 3 du sixième rapport d’évaluation du GIEC a fait référence à un article de blog pour justifier l’utilisation continue du scénario extrême et peu plausible RCP8.5. ⁷
Les projections climatiques du RCP8.5 peuvent également résulter de fortes rétroactions du changement climatique sur les sources d’émissions (naturelles) et d’une sensibilité climatique élevée (AR6 WGI Chapitre 7), et par conséquent leurs impacts climatiques médians pourraient également se matérialiser tout en suivant une trajectoire d’émissions plus faible (par exemple, Hausfather et Betts 2020).
Hausfather et Betts (2020) ne sont pas cités dans le rapport, ce qui est en soi une omission notable, mais qui aurait révélé qu’il s’agissait d’un article de blog. Cependant, la citation fait clairement référence à un article de blog de 2020 sur Carbon Brief , qui cherchait à défendre la priorité continue accordée au RCP8.5.
La discussion du GIEC sur les scénarios d’émissions les plus élevés — dans son encadré 3.3 — cite une défense aberrante du RCP8.5 (Schwalm et al. 2020) tout en ignorant les travaux importants de Justin Ritchie , fournissant un autre exemple de citation sélective qui déforme l’interprétation de la littérature plus large.
Une autre source de biais est l’auto-citation des articles du GIEC par les auteurs. Prenons l’exemple de la section 11.7.1 du chapitre 11 du GT1 du GIEC sur les cyclones tropicaux (qui incluent les ouragans). Cette sous-section du chapitre 11 comprend 379 références non uniques à la littérature publiée. Parmi ces citations, 79 (~18 %) concernent des articles rédigés par seulement 5 des auteurs du chapitre 11. L’un de ces ensembles de citations introduit une erreur majeure dans le rapport du GIEC , qui s’est retrouvée dans le rapport de synthèse du GIEC.
Comparez ces chiffres aux près de 20 000 articles publiés sur les « cyclones tropicaux » et le « changement climatique » de 2013 à 2020, selon Google Scholar — la période d’évaluation du sixième rapport d’évaluation du GIEC.
Le groupe de travail 3 du GIEC est confronté à un problème majeur d’auto-citations : un décompte des auto-citations de cinq éminents modélisateurs d’évaluation intégrée qui sont également auteurs du GT3 montre que le rapport du GT3 contient plus de 500 citations de leurs propres travaux. Le GT3 du GIEC doit diversifier son champ d’action intellectuel , qui est accaparé par une petite communauté universitaire depuis des décennies.
Les exemples présentés ici montrent qu’il faut être un véritable expert pour pouvoir identifier les problèmes liés à l’évaluation. Pour presque tout le monde, l’intégrité de l’évaluation est une question de confiance dans le GIEC en tant qu’institution. Avec des problèmes comme ceux que j’ai décrits, le GIEC joue un jeu risqué avec sa propre légitimité.
Heureusement, certains membres du GIEC semblent être conscients de ces problèmes. Le GIEC a proposé d’organiser un atelier en octobre 2025 pour examiner les approches d’évaluation susceptibles d’améliorer sa capacité à évaluer avec précision la littérature et à éviter les biais. Le GIEC indique qu’il envisagera des outils d’intelligence artificielle et des examens systématiques formels. Tout membre du GIEC participant à cet effort est invité à contribuer à un article invité ici sur THB (ainsi que toute personne souhaitant répondre à cet article).
Le GIEC se trouve à la croisée des chemins : il peut prendre des mesures pour améliorer la qualité de ses évaluations ou continuer à servir de club, en produisant des interprétations biaisées de la littérature et en promouvant la carrière de ses auteurs. Le choix entre les deux ne semble pas difficile.
=============
Je fais partie d’un petit groupe de chercheurs dont les travaux évalués par des pairs sont cités par chacun des trois groupes de travail du GIEC. Il y a plus de 15 ans, j’ai été nommé par le gouvernement américain pour participer au rapport spécial du GIEC sur les événements extrêmes (SREX). À l’époque, un haut responsable du GIEC m’a dit qu’en raison des conclusions de mes recherches (et de celles de mes collègues) sur les événements extrêmes, je ne serais jamais invité à participer au GIEC, malgré ma connaissance de la littérature. Ce jugement s’est avéré juste.
GIEC AR6 GT1, pp. 1585-1586.
Bouwer, LM, & Wouter Botzen, WJ (2011). Dans quelle mesure les dommages causés par les ouragans aux États-Unis sont-ils sensibles au climat ? Commentaire sur un article de WD Nordhaus . Climate Change Economics, 2(01), 1–7.
Collins, D. et Lowe, SP (2001). Un ensemble de données de validation macro pour les modèles d’ouragans aux États-Unis . Casualty Actuarial Society.
Grinsted, A., Ditlevsen, P., & Christensen, JH (2019). Estimations normalisées des dommages causés par les ouragans aux États-Unis en utilisant la zone de destruction totale, 1900-2018 . Actes de l’Académie nationale des sciences , 116 (48), 23942-23946.
Klotzbach, PJ, Bowen, SG, Pielke, R., & Bell, M. (2018). Fréquence des ouragans sur le continent américain et dommages associés : observations et risques futurs . Bulletin de l’American Meteorological Society, 99(7), 1359–1376.
Martinez, A. (2020). Améliorer les dommages normalisés causés par les ouragans . Nature Sustainability, 3, 517–518.
Pielke, RA, Gratz, J., Landsea, CW, Collins, D., Saunders, MA, & Musulin, R. (2008). Dégâts normalisés causés par les ouragans aux États-Unis : 1900-2005 . Natural Hazards Review, 9(1), 29-42.
Pielke, RA, & Landsea, CW (1998). Dégâts normalisés causés par les ouragans aux États-Unis : 1925–1995 . Météo et prévisions, 13(3), 621–631.
Schmidt, S., Kemfert, C. et Höppe, P. (2009). Les pertes dues aux cyclones tropicaux aux États-Unis et l’impact du changement climatique – une analyse des tendances basée sur les données d’une nouvelle approche d’ajustement des pertes dues aux tempêtes . Environmental Impact Assessment Review, 29(6), 359–369.
Weinkle, J., Landsea, C., Collins, D., Musulin, R., Crompton, RP, Klotzbach, PJ, & Pielke, R. (2018). Dégâts normalisés causés par les ouragans aux États-Unis continentaux de 1900 à 2017. Nature Sustainability, 1(12), 808
GIEC AR6 GT2, p. 1978
Les observateurs de longue date se souviendront peut-être de l’ erreur du GIEC concernant les glaciers en 2035, qui a contribué à motiver l’ examen du CCI en 2010 .
GIEC AR6 GT3, p. 317